Monthly payment breakdown
| Mo | Payment | Principal | Interest | Balance |
|---|
How to Calculate Your Payments Using a Mortgage Calculator
Here’s how to use our mortgage calculator to quickly estimate your monthly mortgage payments:
1. Enter your home price.
In the Home Price field, input the purchase price of the home you’re buying (or the current value of your home if you’re refinancing).
2. Enter your down payment.
In the Down Payment field, enter the amount of your down payment (for a new purchase) or the amount of equity you have (if refinancing). You can use either a dollar amount or a percentage.
3. Enter your loan term.
In the Loan Term field, enter the length of your mortgage — commonly 30 years, but options can also include 20, 15, or even 10 years.
4. Enter your interest rate.
In the Interest Rate field, enter the rate you expect to pay or are currently paying. Adjusting this number will help you see how different rates affect your monthly payment. Not sure what rate to use, contact us!
The calculator also lets you edit property taxes, homeowners insurance, and association fees. You can update these amounts — or set them to zero — depending on your situation.
Additionally, under the Amortization tab, you can input extra payments. This feature helps you see how paying down your mortgage early could save money on interest and shorten your loan term.
Typical Costs Included in a Mortgage Payment
Your monthly mortgage payment usually covers more than just the loan itself. Here’s a breakdown of what’s typically included:
-
Principal: The amount you borrowed from the lender, which is generally the home’s purchase price minus your down payment.
-
Interest: The cost of borrowing money, expressed as an annual percentage rate applied to your loan balance.
-
Down Payment: The portion of the home’s price you pay upfront. Many borrowers put down as little as 3 percent.
-
Closing Costs: One-time fees due at the closing of your mortgage. These may include lender origination fees, recording fees, and charges for settlement or title services. They typically range from 2 to 5 percent of the loan amount.
-
Property Taxes: Local government taxes on your home. If your lender requires an escrow account, part of your tax bill will be added to each monthly payment.
-
Homeowners Insurance: Protects your home and belongings against covered risks. If you live in a high-risk area, you may need additional coverage. As with property taxes, premiums are often included in your monthly mortgage payment.
-
Mortgage Insurance: If your down payment is less than 20 percent, you may be required to pay for private mortgage insurance (PMI) or FHA mortgage insurance, which adds to your monthly payment.
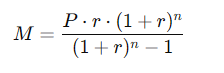
Mortgage Payment Formula
For those who want to see the math, here’s the formula for calculating a fixed-rate mortgage payment manually:
Where:
-
M = Monthly mortgage payment
-
P = Principal loan amount
-
r = Monthly interest rate (annual rate ÷ 12)
-
n = Total number of monthly payments (loan term in years × 12)

